Permutations and combinations are two important ideas in mathematics that help us count the number of possible ways to arrange or select objects.
Combination
Combination is used when order does not matter.
For example, choosing 2 ice-cream flavors from 5.
Chocolate + Vanilla is the same as Vanilla + Chocolate, so it is counted only once.
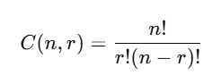
Formula for Combination

This formula adjusts the permutation formula by dividing out the extra arrangements that are the same when order is ignored.
Permutation
Permutation is used when order matters.
For example, arranging 3 colored blocks in a row.
Changing the order changes the arrangement, so each arrangement is counted separately.
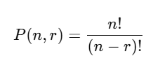
Formula for Permutation

n = total number of objects
r = number of objects being arranged
n! (read as n factorial) means multiplying all whole numbers from n down to 1
This formula counts all possible sequences where order makes a difference.
To help learners understand these ideas visually, we created an interactive Permutations and Combinations Explorer.
You can:
- Select how many objects you have
- Choose how many you want to pick
- Switch between Permutation (order matters) and Combination (order doesn’t matter)
The widget automatically displays all possible arrangements or groups along with a detailed mathematical explanation.